Thursday, January 28, 2016

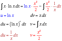
Integration By Parts

Integration By Parts

Integration By Parts 4 (tabular integration) - YouTube
Integration by Parts Tabular Method TIC TAC TOE 2 Examples - Duration: 14:56. ProfRobBob 6,608 views. 14:56 Integration By Parts - Tabular Method - Duration: 23:27. PortableProfessor 2,393 views. 23:27 ... View Video

Series (mathematics) - Wikipedia, The Free Encyclopedia
Abel's method consists in writing b n+1 = B n+1 − B n, and in performing a transformation similar to integration by parts (called summation by parts), that relates the given series ... Read Article

Pros And Cons Of Using OEM Parts For Your PC
We define OEM (Original Equipment Manufacturer) products, both hardware and software for your personal computer, and how they differ from the retail version. ... Read Article

Images of Integration By Parts

Integration By Parts - University Of Iowa
Integration by parts: Derivative of a product: (uv)0 = uv0 + vu0 R uv0 = (uv)0 − vu0 uv0 = R (uv)0 − R vu0 R uv0 = (uv) − R vu0 Example: R e2xsin(3x) Let u = sin(3x), dv = e2x ... Document Retrieval

Music Education Lesson Plans For All Grades
Music Education Lesson Plan. Music and Language Arts/Phonics/Reading. By Espie Estrella. Music Education Expert Share Pin Grammar Songs - This website offers very helpful resources that help teach the parts of speech through songs. For each lesson there is a corresponding song and related ... Read Article

Integration By Parts Photos

Reading Content 7.2 Integration By Parts - University Of Arizona
WileyPLUS Integration by Parts This formula is useful when the integrand can be viewed as a product and when the integral on the right-hand side is simpler than that on the left. ... Access Content

Integration By Parts

Lecture 29: Integration By Parts
Lecture 29: Integration by parts If we integrate the product rule (uv)0= u0v+uv0we obtain an integration rule called integration by parts. It is a powerful tool, which complements substitution. As a rule of thumb, always try ... View This Document

Photos of Integration By Parts

Section 7.1: Integration By Parts - University Of Connecticut
Section 7.1: Integration By Parts 1. R xsin2xdx Let u = x; dv = sin2xdx)du = dx; v = 1=2cos(2x) Z xsin2xdx = 1=2xcos2x+1=2 Z cos2xdx = 1=2xcos2x+1=4sin2x+C ... Read Here

Pictures of Integration By Parts

Sample Problems - Marta Hidegkuti
Lecture Notes Integrating by Parts page 3 Sample Problems - Solutions But at the moment, we will use this interesting application of integration by parts as seen in the previous problem. Let M denote the integral Z sin2 x dx: Let g(x) ... Fetch Content

Integration By Parts Pictures

China And Moscow Could One Day Be Connected Via The Hyperloop
One major innovation is looking to connect parts of the planet, namely Russia and China -- that's right, the Hyperloop One, Elon Musk's vision of a 760 mph transportation system within a tube, is going to Moscow. ... Read News

Integration By Parts Images

Integration By Parts - IMA
Integration by Parts. Integration by parts Product rule: (uv)0= u0v + uv0 Subtruact both side by u0v, we have: (uv)0 u0v = uv0 Swap sides: uv0= (uv)0 u0v Integrate both sides: R uv0dx = R (uv)0dx R u0vdx Since R (uv)0dx = uv, we get Z uv0dx = uv Z u0vdx ... Document Viewer

Integration By Parts Photos

Lecture 29: Integration By Parts
Math 1A: introduction to functions and calculus Oliver Knill, 2012 Lecture 29: Integration by parts If we integrate the product rule (uv)′ = u′v+uv′ we obtain an integration rule called integration ... Read Document

Integration By Parts Photos

INTEGRATION BY PARTS - Salford
Integration INTEGRATION BY PARTS Graham S McDonald A self-contained Tutorial Module for learning the technique of integration by parts Table of contents ... Visit Document

Pictures of Integration By Parts

PowerPoint Presentation
8.2 Integration by Parts Summary of Common Integrals Using Integration by Parts 1. For integrals of the form Let u = xn and let dv = eax dx, sin ax dx, cos ax dx 2. ... Read Full Source

Integration By Parts Images

2 - Integration - Integration By Parts
Integration – Integration by Parts Recall the product )rule for derivatives: g) f (x If we integrate both sides, we get dx ) dx g( ) f (x) ... Fetch Here

Integration By Parts

Integration By Parts - Rose-Hulman
A study Guide on Integration by Parts Produced by Bryce Borchers and Keldon Reller Revised by Learning Center Integration by Parts is a method used when the integrand is a product of functions. ... Get Content Here

Integration By Parts Images

DHL ECommerce Boosts Its China Footprint With New Investments And Expanded Capabilities
SHENZHEN, China, June 23, 2016 /PRNewswire/ -- DHL eCommerce, a division of the world's leading logistics company, Deutsche Post DHL Group, has announced plans to grow its overall presence in China by over 50 percent as online retail and the corresponding demand for quality logistics solutions continues to soar. As part of this, the company has opened its new DHL eCommerce Shenzhen Distribution ... Read News

Riemann integral - Wikipedia, The Free Encyclopedia
Riemann integral; Lebesgue integration; Contour integration; Integration by; Parts; Discs; Cylindrical shells; Substitution (trigonometric) Partial fractions; Integration by parts; Integration by substitution; Inverse function integration; Order of integration (calculus) ... Read Article

Integration By Parts Images

INTEGRATION BY PARTS (TABLE METHOD)
To understand how the table method of integration by parts works, first notice that we didn’t really change du 2x dx and v sin3x 3 1 from the result of the 1st integration by parts, ... Return Document

Wallis' integrals - Wikipedia, The Free Encyclopedia
The Wallis' integrals are the terms of the sequence because it is an integral of a non-negative continuous function which is not all zero in the integration interval By means of integration by parts, ... Read Article

Pictures of Integration By Parts

Integration By Parts - LeTourneau University
Integration by Parts Lesson 8.2 Review Product Rule Recall definition of derivative of the product of two functions Now we will manipulate this to get Manipulating the Product Rule Now take the integral of both sides Which term above can be simplified? ... Fetch Doc

Photos of Integration By Parts

Practice Problems: Integration By Parts (Solutions)
Practice Problems: Integration by Parts (Solutions) Written by Victoria Kala vtkala@math.ucsb.edu November 25, 2014 The following are solutions to the Integration by Parts practice problems posted November 9. ... Return Doc

Images of Integration By Parts

INTEGRATION BY PARTS - Texas State University
INTEGRATION BY PARTS Integration by parts is a technique used to solve integrals that fit the form: ∫u dv This method is to be used when normal integration and substitution do not work. ... View Document

Photos of Integration By Parts

Integration By Parts - University Of Idaho
Integration By Parts Integration by parts is often used when integrating products when a simple substitution does not work. Common integrals of the form ∫xnekxdx,∫∫xnnsin(kx)dxxor coskxdx are easily integrated by parts.() ... Access Document

Integration By Parts

Integration By Parts - University Of Massachusetts Lowell
From Wikipedia – Integration by Parts . A rule of thumb proposed by Herbert Kasube of Bradley University advises that whichever function comes first in ... Doc Retrieval

No comments:

Post a Comment